BEO İnşaat firması olarak hakediş ve kesin hesaplarınızı istenilen formatta dinamik metraj raporu ve ataşmanları ile birlikte teslim ederek aylar sürecek hesaplarınızı birkaç günde işvereninize teslim etmenizi sağlıyoruz.
 
Hakediş ve kesin hesap kavramlarını tanıtarak okuyucularımızı aydınlatmak isteriz. Hakediş; sözleşmeye uygun olarak belli aralıklarla yüklenicinin yaptığı iş karşılığında ödenen bedeldir. Kamu kurumları tarafından ihaleye çıkarılan yapım işleri ya da hizmetlerin alımında hakediş yapılır. Aynı şekilde özel sektörde faaliyet gösteren firmalar da hakediş yöntemiyle ödeme yapılır. Yüklenicinin yapacağı inşaat projesi, sözleşmede belirlenmiş bir fiyat üzerinden ilerlemektedir. İnşaat projelerinde iş veren, yapılacak işlerin bedelini işin başlangıcında ya da iş tamamlandıktan sonra yükleniciye tamamını ödemesi birçok sıkıntıya yol açabilir. Örneğin işin başında ödeme yapılması durumunda yüklenici aldığı parayı başka yerde kullanabilir, ya da işin sonunda ödeme yapması halinde birçok yüklenici bu finansmanı karşılayamayacağı için işi bedelinin çok üzerinde fiyatlara yaptırmak zorunda kalabilir. Bu nedenle ödemelerin belirli aralıklarla ve işler tamamlandıkça yapılması daha doğru bir yöntem olacaktır. Böylelikle hem iş veren hem de yüklenici korunmuş olacaktır.
 
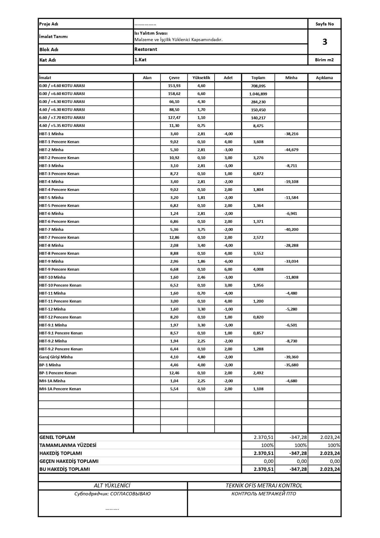
Hakediş Hazırlama Süreçleri 
 
Hakedişler; İş yeri teslim tarihinden itibaren (sözleşmede aksi belirtilmediyse) aylık olarak düzenlenir. Şu iş süreçleri gerçekleştirilir:
 
  • Yüklenicinin gerçekleştirdiği imalatlar projesine uygun olarak ölçülerek miktarlar bulunur.
  • Yeşil Defterde önceki hakediş miktarları ile bu hakedişte girilen miktarlar toplanarak kümülatif iş miktarları bulunur.
  • Yapılan işler listesinde yeşil defterden gelen miktarlar ile sözleşme birim fiyatları çarpılarak yapılan iş tutarı elde edilir.
  • Fiyat farkı verileceği belirtilen işlerde fiyat farkı hesabı yapılır.
  • Yapılan işin/hizmetin tutarı ve fiyat farkı toplanarak hakediş tutarı elde edilir ve bu tutar üzerinden KDV hesaplanarak tahakkuk tutarı elde edilir.
  • Bu hakediş için yükleniciden kesilecek tutarlar (damga vergisi, gelir kurumlar vergisi, geçici kabul kesintisi, cezalar vb.) tahakkuk tutarından düşülerek yükleniciye ödenmesi gereken tutar hesaplanır.
 4734 Sayılı Kamu İhale Kanunu'na göre ihalesi yapılmış Yapım İşleri için;
 
Yapım İşleri Uygulama Yönetmeliği Eki Yapım İşleri Genel Şartnamesi Hakediş Raporları başlıklı 8. bölüm Kesin hakediş raporu ve hesap kesilmesi başlıklı 40. Madde 1.Fıkraya göre; 
 
  • Birim fiyat esaslı sözleşmelerde kesin hesaplar aşağıdaki esaslara göre yapılır:
    • İşin geçici kabulü yapıldıktan sonra, kesin hakediş raporunun düzenlenmesine esas olacak kesin metraj ve hesapların tamamlanmasına başlanır. Bunlar biri asıl olmak üzere en az üç suret halinde düzenlenir. Yüklenicinin kesin hakediş raporunun düzenlenmesinde geçici hakediş raporlarındaki rakamlara itibar edilmez ve kesin metraj ve hesaplar sonucunda bulunan miktarlar esas alınır.
    • Kesin metraj ve hesaplarının yapıldığı sürece yüklenici veya vekili hesapların yapıldığı yerde bulunmak zorundadır.
    • Yapı denetim görevlisi, yüklenici veya vekili ile birlikte işin gidişine paralel olarak daha önce hazırlanıp karşılıklı imzalanmış bulunan kesin metraj ve hesaplar ile işin gidişine paralel hazır olmayanları, birlikte tamamlayıp imzalayarak geçici kabul tarihinden başlamak üzere en çok altı ay içinde idareye teslim etmek zorundadır. Bu hesapların yapılması sırasında yüklenici veya vekili tarafından yapılmış ve fakat yapı denetim görevlisince çözüme bağlanamamış itirazlar varsa bunlar da incelenmek üzere hesaplarla birlikte idareye verilecektir.
    • Kesin metraj ve hesapların düzenlenmesi sırasında yüklenici veya vekili, yapı denetim görevlisinin yazılı tebliğine rağmen hazır bulunmadığı takdirde, yapı denetim görevlisi hesapları tek taraflı olarak hazırlar ve geçici kabul tarihinden başlamak üzere en çok altı ay içinde idareye teslim eder. Bu aşamada yükleniciye, hazırlanmış bu kesin metraj ve hesapları altmış gün içinde incelemesi için tebligat yapılır. Yüklenici incelemesini daire dışında yapmak isterse kesin metraj ve hesapların asıl olmayan suretlerinden bir takımı kendisine verilir. Yüklenici kesin metraj ve hesapları inceleyip itirazsız imzalarsa hesapların idarece incelenmesine başlanır.
  • Anahtar teslimi götürü bedel sözleşmelerde; kesin hakediş raporu düzenlenmesine işin geçici kabulü yapıldıktan sonra başlanır ve sözleşme ve eklerinde öngörülen hükümler çerçevesinde kesin hesap işlemleri gerçekleştirilir.
  • Karma sözleşmelerde, işin götürü bedel ve birim fiyat teklif alınan kısımlarında ilgisine göre birinci ve ikinci fıkradaki hükümler uygulanır.
  • Yüklenicinin kesin hesaplara itirazı varsa altmış günlük inceleme süresi içinde idareye yazılı olarak bildirmek zorundadır. Böyle yapmadığı takdirde kesin hesapla ilgili bütün belgeleri kayıtsız kabul etmiş sayılır ve bundan sonra bu hususta yapılacak herhangi bir itiraz dikkate alınmaz.
  • Yapı denetim görevlisi belirtilen süre içinde kesin hesapları idareye teslim etmediği takdirde, yüklenici kendi hazırladığı kesin hesapları idareye vererek incelenmesini ve onaylanmasını isteyebilir.
  • İdareler teslim aldıkları kesin hesapları, teslim tarihinden başlamak üzere en çok altı ay içinde inceleyip onaylarlar. Aksi halde yüklenici, varsa itirazlarında haklı sayılacağı gibi, işin kesin kabulü yapılmış olmak şartı ile, kesin hakediş raporunun düzenlenmesini de isteyebilir.
  • Yüklenicinin, kesin hesapların yapılışında hazır bulunmayıp sonradan altmış günlük sürede hesapları incelemesi halinde, idarenin altı aylık inceleme süresi, yüklenicinin incelemeyi bitirdiğini idareye yazılı olarak bildirdiği tarihten başlar.
  • Kesin hesapların ve kesin kabul tutanağının idarece onaylanmasından sonra, bunlara ilişkin onay tarihlerinin sonuncusundan başlamak üzere en çok otuz gün içinde, idarece onaylanmış kesin hesaplara dayalı olarak, yapı denetim görevlisi tarafından kesin hakediş raporu düzenlenir.
  • Kesin hesapların idareye tesliminden sonra idarece incelenmesi sırasında yapılabilecek değişikliklere yüklenicinin bir itirazı olursa itirazlarının yerlerini de açık seçik belirtmek suretiyle bu husustaki karşı görüşlerinin neler olduğunu ve dayandığı gerekçeleri 39 uncu maddedeki usuller çerçevesinde dilekçe ile idareye bildirir.
  • Hesap kesme işleminde, gerçekleştirilen bütün işlerin kesin hakediş raporuna geçirilen bedelinden iş sırasında geçici hakediş raporları ile ödenen miktarlar düşülür. Daha sonra 39 uncu maddede açıklanan geçici hakediş ödeme usulleri çerçevesinde, hakedişe yapılan ek ve kesintilerden sonra kalan tutar yükleniciye veya vekiline ödenir.
  • Hesap kesme işlemi sonucunda, yüklenici idareye borçlu kaldığı takdirde, borcu genel hükümlere göre tasfiye edilir. Kesin metraj ve hesapların yapılıp onaylanmasına ve kesin hakedişin düzenlenmesine ait yukarıdaki süreler, ancak mücbir sebeplerle, ihale yetkilisinin onayı ile yeteri kadar uzatılabilir. Bu onay yetkisi alt kademelere verilmez.
Bağımsız bir hakediş firması ile anlaşmak sizlerin imalatınıza odaklanmanızı ve profesyonel kadro sayesinde taşeron ana firma arasındaki kontrol sürecini hızlandırmanızı ve hakedişlerinizi zamanında almanızı sağlar. Böylece teknik ofiste bulunan personelleriniz bu gereksiz yük altında ezilmek yerine sizlerin maliyet çalışmalarınıza odaklanarak daha verimli çalışmanızı sağlar.